Petroleum Reservoir Evaluation and Development ›› 2025, Vol. 15 ›› Issue (6): 1121-1129.doi: 10.13809/j.cnki.cn32-1825/te.2025.06.019

• Non-fossil Energy Resources • Previous Articles     Next Articles

Seepage simulation experiment and productivity prediction of converted gas storage in sandstone oil reservoirs: A case study of Banshen 37 fault block in Dagang Oilfield

LYU Dongliang1(), LI Hongyu1(), LI Jian2, CHENG Yabin2, LI Hui2   

  1. 1. Petroleum Engineering School, Southwest Petroleum University, Chengdu, Sichuan 610500, China
    2. Research Institute of Petroleum Exploration and Development, PetroChina Dagang Oilfield Company, Tianjin 300280, China
  • Received:2024-09-18 Online:2025-10-24 Published:2025-12-26

Abstract:

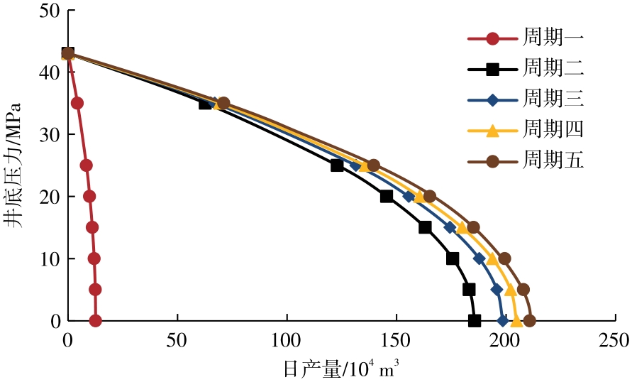
Reservoir-converted gas storage has emerged as a new development approach worldwide in recent years. Many oil-bearing structures in China meet the conditions for conversion into gas storage, offering broad application prospects for improving oil recovery rates, diversifying gas storage types, and meeting regional gas supply demands. Using a full-diameter core from the Banshen 37 fault block in the Dagang Oilfield and based on the injection-production patterns of reservoir-converted gas storage, a multi-cycle displacement alternating experiment was designed to analyze the seepage mechanisms of converted gas storage in sandstone oil reservoirs and establish a single-well productivity prediction model. The experimental results demonstrate that: (1) Gas exhibits both displacement and extraction effects on water and oil, positively contributing to the enhancement of gas storage capacity. (2) In multi-cycle displacement alternating experiments of gas-water and gas-oil displacement (simulating the late-stage development of water-bearing layers or water-driven oil reservoirs and the early-stage development of converted gas storage in oil reservoirs, respectively), the storage capacity expansion follows a power-law relationship with the number of injection-production cycles, ultimately reaching 27.73% and 33.74%, respectively. Moreover, appropriately lowering the minimum operating pressure of the gas storage can enhance storage capacity. (3) In multi-cycle gas-oil-water displacement alternating experiments (simulating the actual development of converted gas storage in oil reservoirs), under oil-water coexistence conditions, higher water saturation weakens the expansion capacity of the gas storage (with initial water saturation of the core in the two experiments at 47.04% and 63.50%, respectively, leading to expansion capacities of 32.51% and 31.85% , respectively); ④ Based on relative permeability curve tests, a rapid prediction method different from numerical simulation was proposed for single-well productivity of converted gas storage in oil reservoirs. Productivity equations and absolute open flow under different injection-production cycles were established. The findings provide essential guidance for early-stage storage capacity analysis and productivity design of converted gas storage in oil reservoirs.

Key words: sandstone oil reservoir, converted gas storage, productivity prediction, gas production rate, laboratory experiment

CLC Number: 

  • TE357