Petroleum Reservoir Evaluation and Development ›› 2026, Vol. 16 ›› Issue (1): 61-73.doi: 10.13809/j.cnki.cn32-1825/te.2025313
• Methodological Theory • Previous Articles Next Articles
YANG Long1,2,3(
), XU Xun1,3(
), GUO Liqiang1,3, ZHANG Yizhong4, WANG Kun1,3, ZHENG Jingjing1,3
Received:2025-07-07
Online:2026-01-06
Published:2026-01-26
CLC Number:
YANG Long,XU Xun,GUO Liqiang, et al. Correction model for phase equilibrium parameters of CO2 geological storage in deep saline aquifers[J]. Petroleum Reservoir Evaluation and Development, 2026, 16(1): 61-73.
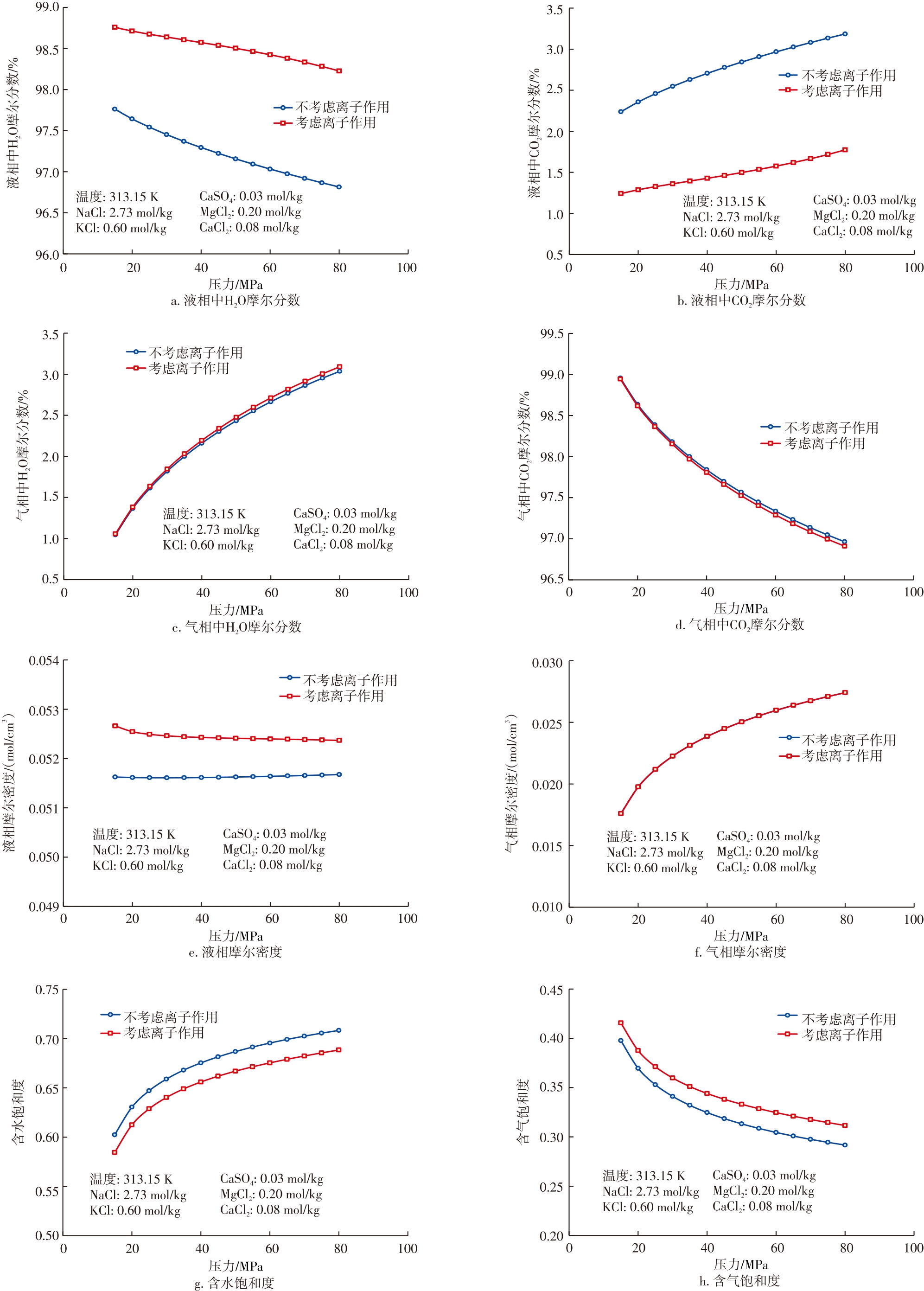
Table 1
Empirical parameters for calculating CO2 solubility in brine"
| 参数 | 值 | 参数 | 值 | 参数 | 值 |
|---|---|---|---|---|---|
| a1 | 0.039 394 508 | b1 | 1.451 202 619 | αSO₄ | 0.141 383 311 |
| a2 | 0.135 713 591 | b2 | -0.674 455 161 | βNa | 1.000 000 000 |
| a3 | -0.712 527 769 | b3 | -1.307 789 474 | βK | 0.493 470 401 |
| a4 | 0.026 383 234 | b4 | 0.110 484 625 | βCa | 2.417 927 979 |
| a5 | 0.684 871 035 | b5 | 0.414 800 056 | βMg | 2.303 224 888 |
| a6 | -0.685 118 723 | b6 | 0.124 922 088 | ||
| a7 | 0.246 235 689 | b7 | -0.044 053 682 | ||
| a8 | 0.676 925 539 | b8 | -0.117 540 325 | ||
| a9 | -0.226 694 802 | b9 | 0.036 097 248 | ||
| a10 | -0.000 807 745 | b10 | 0.000 015 978 | ||
Table 2
Sources of experimental data for CO2 solubility in brine"
| 体系 | 温度/K | 压力/MPa | 质量摩尔浓度/(mol/kg) | 数据点数 | 参考来源 |
|---|---|---|---|---|---|
| CO2-H2O-CaCl2 | 323.15~423.15 | 6.5~59.5 | 0.73~2.75 | 43 | 文献[ |
| CO2-H2O-KCl | 323.15~423.15 323.15~423.15 | 8.2~55.0 15.0 | 1.49~3.78 0.50~4.50 | 26 18 | 文献[ 文献[ |
| CO2-H2O-MgCl2 | 323.15~423.15 323.15~423.15 | 8.2~55.0 15.0 | 0.75~4.29 0.33~2.00 | 35 18 | 文献[ 文献[ |
| CO2-H2O-Na2SO4 | 313.15~433.15 | 0.4~9.7 | 1.01~2.01 | 98 | 文献[ |
| CO2-H2O-NaCl | 303.15~333.15 323.15~423.15 423.00~723.00 | 10.0~20.0 15.0 10.0~140.0 | 0.17~0.53 1.00~6.00 0~4.28 | 36 18 123 | 文献[ 文献[ 文献[ |
| CO2-H2O-NaCl-KCl | 308.15~425.15 | 1.0~17.5 | 0.90NaCl~0.14KCl | 14 | 文献[ |
| CO2-H2O-NaCl-CaCl2 | 323.00~423.00 | 10.0~17.5 | 2.99NaCl~0.67CaCl2 | 12 | 文献[ |
Table 3
Comparison of calculation results for CO2 solubility in brine"
| 体系 | 相关系数 | 最大偏差/% | 最小偏差/% | 平均偏差/% |
|---|---|---|---|---|
| 平均值 | 0.985 1 | 12.12 | 0.13 | 3.19 |
| CO2-H2O-CaCl2 | 0.970 5 | 14.58 | 0 | 4.29 |
| CO2-H2O-KCl | 0.958 7 | 11.30 | 0.32 | 3.89 |
| CO2-H2O-MgCl2 | 0.983 8 | 13.54 | 0.05 | 3.68 |
| CO2-H2O-Na2SO4 | 0.998 4 | 17.58 | 0.02 | 2.01 |
| CO2-H2O-NaCl | 0.991 7 | 9.88 | 0.31 | 3.42 |
| CO2-H2O-NaCl-KCl | 0.995 6 | 13.77 | 0.11 | 3.64 |
| CO2-H2O-NaCl-CaCl2 | 0.997 3 | 4.18 | 0.10 | 1.43 |
| [1] | DONG H J, DAI H C, DONG L, et al. Pursuing air pollutant co-benefits of CO2 mitigation in China: A provincial leveled analysis[J]. Applied Energy, 2015, 144: 165-174. |
| [2] | 叶晓东, 陈军, 陈曦, 等. “双碳”目标下的中国CCUS技术挑战及对策[J]. 油气藏评价与开发, 2024, 14(1): 1-9. |
| YE Xiaodong, CHEN Jun, CHEN Xi, et al. China’s CCUS technology challenges and countermeasures under “double carbon” target[J]. Petroleum Reservoir Evaluation and Development, 2024, 14(1): 1-9. | |
| [3] | 何志勇, 郭本帅, 汪东, 等. CO2捕集和利用技术的应用与研发进展[J]. 油气藏评价与开发, 2024, 14(1): 70-75. |
| HE Zhiyong, GUO Benshuai, WANG Dong, et al. Application and research progress of CO2 capture and utilization technology[J]. Petroleum Reservoir Evaluation and Development, 2024, 14(1): 70-75. | |
| [4] | 芮振华, 邓海洋, 胡婷. 基于混合物理数据驱动的油藏地质体CO2利用与封存代理模型研究[J]. 钻采工艺, 2025, 48(1): 190-198. |
| RUI Zhenhua, DENG Haiyang, HU Ting. Study on CO2 utilization and storage proxy model for reservoir geobodies based on hybrid physics-data driven[J]. Drilling and Production Technology,2025, 48(1): 190-198. | |
| [5] | 张烈辉, 韦棋, 廖广志, 等. 双碳背景下中国CCUS-EOR发展现状、思考与展望[J]. 钻采工艺, 2025, 48(5): 10-20. |
| ZHANG Liehui, WEI Qi, LIAO Guangzhi, et al. Current status, reflections and prospects of CCUS-EOR development in China under the dual-carbon goals[J]. Drilling and Production Technology, 2025, 48(5): 10-20. | |
| [6] | 姚红生, 邱伟生, 周德华, 等. 苏北盆地复杂断块油藏CCUS-EOR关键技术与实践[J]. 天然气工业, 2025, 45(9): 212-222. |
| YAO Hongsheng, QIU Weisheng, ZHOU Dehua, et al. Key technologies and practices of CCUS-EOR in complex fault-block reservoirs in the Subei Basin[J]. Natural Gas Industry, 2025, 45(9): 212-222. | |
| [7] | 谢玉洪, 王建花, 袁全社. 中国海洋深水区油气地球物理勘探技术进展[J]. 石油物探, 2025, 64(3): 397-415. |
| XIE Yuhong, WANG Jianhua, YUAN Quanshe. Advances in deepwater hydrocarbon geophysical exploration technologies in China[J]. Geophysical Prospecting for Petroleum, 2025, 64(3): 397-415. | |
| [8] | BICKLE M J. Geological carbon storage[J]. Nature Geoscience, 2009, 2(12): 815-818. |
| [9] | MATTER J M, KELEMEN P B. Permanent storage of carbon dioxide in geological reservoirs by mineral carbonation[J]. Nature Geoscience, 2009, 2(12): 837-841. |
| [10] | 柴愈坤, 任旭, 戴建文, 等. 海上咸水层CO2封存断层侧向封闭性评价: 以珠江口盆地恩平凹陷恩平A油田为例[J]. 石油实验地质, 2025, 47(5): 1185-1197. |
| CHAI Yukun, REN Xu, DAI Jianwen, et al. Evaluation of fault lateral sealing for CO2 storage in offshore saline aquifers: A case study of Enping A Oilfield in Enping Sag, Pearl River Mouth Basin[J]. Petroleum Geology & Experiment, 2025, 47(5): 1185-1197. | |
| [11] | TRUCHE L, BAZARKINA E F, BERGER G, et al. Direct measurement of CO2 solubility and pH in NaCl hydrothermal solutions by combining in situ potentiometry and Raman spectroscopy up to 280 ℃ and 150 bar[J]. Geochimica et Cosmochimica Acta, 2016, 177: 238-253. |
| [12] | GUO J J, XIONG W, HU Q Y, et al. Stability analysis and two-phase flash calculation for confined fluids in nanopores using a novel phase equilibrium calculation framework[J]. Industrial & Engineering Chemistry Research, 2022, 61(5): 2306-2322. |
| [13] | DUAN Z, SUN R. An improved model calculating CO2 solubility in pure water and aqueous NaCl solutions from 273 to 533 K and from 0 to 2 000 bar[J]. Chemical Geology, 2003, 193(3/4): 257-271. |
| [14] | DUAN Z, SUN R, ZHU C, et al. An improved model for the calculation of CO2 solubility in aqueous solutions containing Na+, K+, Ca2+, Mg2+, Cl-, and SO4 2- [J]. Marine Chemistry, 2006, 98(2/3/4): 131-139. |
| [15] | WANG L, SHEN Z, HU L, et al. Modeling and measurement of CO2 solubility in salty aqueous solutions and application in the Erdos Basin[J]. Fluid Phase Equilibria, 2014, 377: 45-55. |
| [16] | ZHAO H, FEDKIN M V, DILMORE R M, et al. Carbon dioxide solubility in aqueous solutions of sodium chloride at geological conditions: Experimental results at 323. 15, 373. 15, and 423. 15 K and 150 bar and modeling up to 573. 15 K and 2 000 bar[J]. Geochimica et Cosmochimica Acta, 2015, 149: 165-189. |
| [17] | 张路. 混合气体—卤水体系的密度和气体溶解度计算模型[D]. 西安:西北大学, 2016. |
| ZHANG Lu. Thermodynamic models for accurate calculations of densities of brines and solubilities of gas mixtures in brines[D]. Xi’an: Northwest University, 2016. | |
| [18] | ZHANG Y Z. Study on the binary interactions of gas, brine and reservoir porous media[D]. Regina: University of Regina, 2021. |
| [19] | 龙震宇, 王长权, 石立红, 等. 基于核岭回归算法的地层水中CO2溶解度模型研究[J]. 西安石油大学学报(自然科学版), 2023, 38(1): 95-101. |
| LONG Zhenyu, WANG Changquan, SHI Lihong, et al. Study on CO2 solubility model in formation water based on kernel ridge regression algorithm[J]. Journal of Xi’an Shiyou University (Natural Science Edition), 2023, 38(1): 95-101. | |
| [20] | 董利飞, 董文卓, 张旗, 等. 咸水层中CO2溶解性能预测方法优选[J]. 油气藏评价与开发, 2024, 14(1): 35-41. |
| DONG Lifei, DONG Wenzhuo, ZHANG Qi, et al. Optimal prediction method for CO2 solubility in saline aquifers[J]. Petroleum Reservoir Evaluation and Development, 2024, 14(1): 35-41. | |
| [21] | 张卫. 基于机器学习的深部咸水中CO2溶解度预测研究[D]. 重庆: 重庆科技学院, 2024. |
| ZHANG Wei. A machine learning-based method to predict CO2 solubility in deep brines [D]. Chongqing: Chongqing University of Science and Technology, 2024. | |
| [22] | 阎凤元, 雷海申, 王睿, 等. 基于机理分析与数据驱动的CO2溶解度计算方法[J]. 石油与天然气化工, 2025, 54(2): 51-61. |
| YAN Fengyuan, LEI Haishen, WANG Rui, et al. Calculation method of CO2 solubility based on mechanism analysis and data driven[J]. Chemical Engineering of Oil & Gas, 2025, 54(2): 51-61. | |
| [23] | SPYCHER N, PRUESS K. A phase-partitioning model for CO2-brine mixtures at elevated temperatures and pressures: Application to CO2-enhanced geothermal systems[J]. Transport in Porous Media, 2010, 82(1): 173-196. |
| [24] | ZIRRAHI M, AZIN R, HASSANZADEH H, et al. Mutual solubility of CH4, CO2, H2S, and their mixtures in brine under subsurface disposal conditions[J]. Fluid Phase Equilibria, 2012, 324: 80-93. |
| [25] | BIAN X Q, XIONG W, KASTHURIARACHCHI D T K, et al. Phase equilibrium modeling for carbon dioxide solubility in aqueous sodium chloride solutions using an association equation of state[J]. Industrial & Engineering Chemistry Research, 2019, 58(24): 10570-10578. |
| [26] | SUN R, DUBESSY J. Prediction of vapor-liquid equilibrium and PVTx properties of geological fluid system with SAFT-LJ EOS including multi-polar contribution. Part II: Application to H2O-NaCl and CO2-H2O-NaCl System[J]. Geochimica et Cosmochimica Acta, 2012, 88: 130-145. |
| [27] | 周建堂, 康丽侠, 杨立国, 等. 基于GE混合规则的SRK-CPA状态方程预测CO2在地层水中的溶解度[J]. 石油化工, 2021, 50(12): 1274-1279. |
| ZHOU Jiantang, KANG Lixia, YANG Liguo, et al. Prediction of the solubility of CO2 in formation water using SRK-CPA equation based on GE mixing rule[J]. Petrochemical Technology, 2021, 50(12): 1274-1279. | |
| [28] | XIONG W, ZHANG L H, TIAN Y, et al. Phase equilibrium modeling for carbon dioxide capture and storage (CCS) fluids in brine using an electrolyte association equation of state[J]. Chemical Engineering Science, 2023, 275: 118723. |
| [29] | SPYCHER N, PRUESS K, ENNIS-KING J. CO2-H2O mixtures in the geological sequestration of CO2. I. Assessment and calculation of mutual solubilities from 12 to 100 ℃ and up to 600 bar[J]. Geochimica et Cosmochimica Acta, 2003, 67(16): 3015-3031. |
| [30] | DUAN Z, MAO S. A thermodynamic model for calculating methane solubility, density and gas phase composition of methane-bearing aqueous fluids from 273 to 523 K and from 1 to 2 000 bar[J]. Geochimica et Cosmochimica Acta, 2006, 70(13): 3369-3386. |
| [31] | PITZER K S, PEIPER J C, BUSEY R H. Thermodynamic properties of aqueous sodium chloride solutions[J]. Journal of Physical and Chemical Reference Data, 1984, 13(1): 1-102. |
| [32] | TEYMOURI M B, RAMIN S. Phase equilibria measurements and modelling of CO2–rich fluids/brine systems[D]. Edinburgh: Heriot-Watt University, 2017. |
| [33] | ZHAO H, DILMORE R M, LVOV S N. Experimental studies and modeling of CO2 solubility in high temperature aqueous CaCl2, MgCl2, Na2SO4, and KCl solutions[J]. AIChE Journal, 2015, 61(7): 2286-2297. |
| [34] | RUMPF B, MAURER G. An experimental and theoretical investigation on the solubility of carbon dioxide in aqueous solutions of strong electrolytes[J]. Berichte der Bunsengesellschaft Für Physikalische Chemie, 1993, 97(1): 85-97. |
| [35] | BANDO S, TAKEMURA F, NISHIO M, et al. Solubility of CO2 in aqueous solutions of NaCl at (30 to 60) ℃ and (10 to 20) MPa[J]. Journal of Chemical & Engineering Data, 2003, 48(3): 576-579. |
| [36] | TAKENOUCHI S, KENNEDY G C. The solubility of carbon dioxide in NaCl solutions at high temperatures and pressures[J]. American Journal of Science, 1965, 263(5): 445-454. |
| [37] | TONG D, MARTIN TRUSLER J P, VEGA-MAZA D. Solubility of CO2 in aqueous solutions of CaCl2 or MgCl2 and in a synthetic formation brine at temperatures up to 423 K and pressures up to 40 MPa[J]. Journal of Chemical & Engineering Data, 2013, 58(7): 2116-2124. |
| [38] | 刘思雨, 杨国栋, 黄冕, 等. 人工裂缝参数对CO2-ESGR中CO2封存和CH4开采的影响[J]. 石油与天然气化工, 2024, 53(2): 94-100. |
| LIU Siyu, YANG Guodong, HUANG Mian, et al. Effects of artificial fracture parameters on CO2 sequestration and CH4 production in CO2-ESGR[J]. Chemical Engineering of Oil & Gas, 2024, 53(2): 94-100. | |
| [39] | 张烈辉, 熊伟, 赵玉龙, 等. 衰竭底水气藏注CO2提高天然气采收率与碳封存机理[J]. 天然气工业, 2024, 44(4): 25-38. |
| ZHANG Liehui, XIONG Wei, ZHAO Yulong, et al. Mechanism of CO2 injection to enhance gas recovery and carbon storage in depleted bottom-water gas reservoirs[J]. Natural Gas Industry, 2024, 44(4): 25-38. |
| [1] | ZHAO Yong, FENG Qin, SUN Xin, WANG Qing. Investigation on risk of induced earthquakes for CO2 geological storage in X block, Xihu Sag, East China Sea [J]. Petroleum Reservoir Evaluation and Development, 2026, 16(1): 23-33. |
| [2] | WANG Nenghao, LIAN Wei, LI Jun, LI Jiaqi. Study on plume evolution and influencing factors of reservoir and caprock integrity in CO2 deep saline aquifer storage: A case study of Shenhua CCS project [J]. Petroleum Reservoir Evaluation and Development, 2026, 16(1): 128-140. |
| [3] | LI Jingwei, PENG Bo, WANG Zeteng, CHEN Xiaoqian, ZHANG Zhenghao, LIU Jindong, LIU Shuangxing, LI Xiaofeng. CO2 storage potential assessment models and their practical progress in oil and gas reservoirs [J]. Petroleum Reservoir Evaluation and Development, 2026, 16(1): 141-152. |
| [4] | YANG Shugang, REN Jinman, CAI Mingyu, LIU Haotong, LIU Shuangxing, XUE Ming, ZHANG Kunfeng. Investigation on occurrence states of CO2 storage in formations with gas field produced water reinjection [J]. Petroleum Reservoir Evaluation and Development, 2025, 15(4): 656-663. |
| [5] | SUN Dongsheng, ZHANG Shunkang, WANG Zhilin, GE Zhengjun, LIN Bo. Calculation method for CO2 geological storage capacity of fault-block traps in Subei Basin based on safety considerations [J]. Petroleum Reservoir Evaluation and Development, 2025, 15(4): 641-645. |
|
||