Petroleum Reservoir Evaluation and Development ›› 2025, Vol. 15 ›› Issue (6): 1088-1095.doi: 10.13809/j.cnki.cn32-1825/te.2025.06.015

• Engineering Techniques • Previous Articles     Next Articles

Optimal selection of lateral well types for coalbed methane development in Bijie test area

BU Yuhuan1,2(), LU Tong1,2(), LU Chang3, XIANG Gang4,5, GUO Shenglai1,2   

  1. 1. Key Laboratory of Unconventional Oil and Gas Development, Ministry of Education, China University of Petroleum (East China), Qingdao, Shandong 266580, China
    2. School of Petroleum Engineering, China University of Petroleum (East China), Qingdao, Shandong 266580, China
    3. School of Environmental and Municipal Engineering, Qingdao University of Technology, Qingdao, Shandong 266520, China
    4. Key Laboratory of Unconventional Natural Gas Evaluation and Development in Complex Tectonic Regions, Ministry of Natural Resources, Guiyang, Guizhou 550009, China
    5. Guizhou Engineering Research Institute of Oil & Gas Exploration and Development, Guiyang, Guizhou 550009, China
  • Received:2024-11-05 Online:2025-10-24 Published:2025-12-26

Abstract:

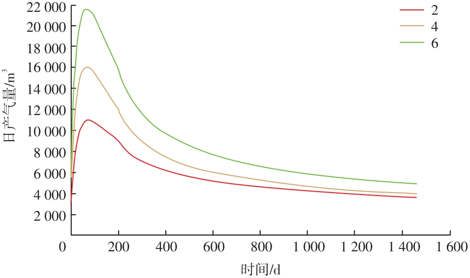
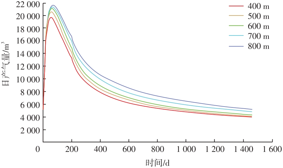
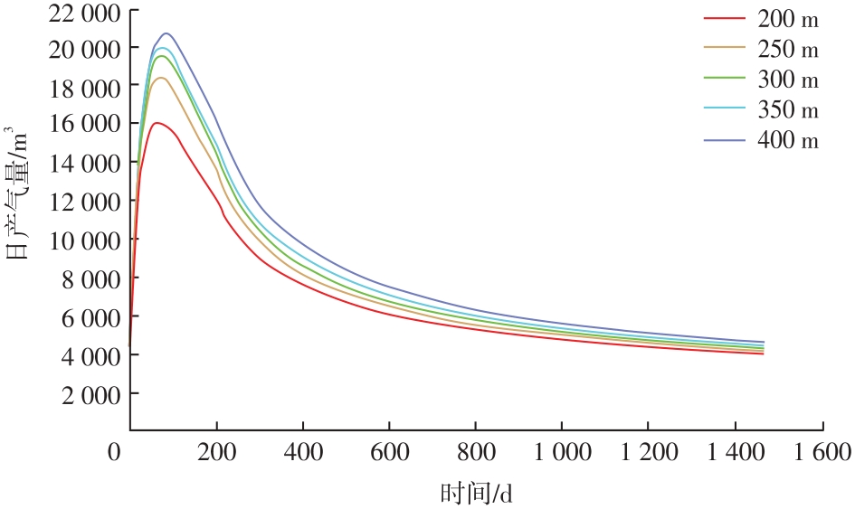
Drilling multi-lateral horizontal wells is an efficient method for coalbed methane (CBM) development, offering high production potential. This study selected the Bijie test area in Guizhou Province as the research object. This region is characterized by abundant CBM resources, substantial geological reserves, a relatively simple structural setting, and the absence of major fault zones, representing typical geological conditions for CBM development. To identify the suitable lateral well types for this area, a CBM numerical simulation model was established using the PETREL software. Two typical multi-lateral well types, fishbone-shaped lateral wells and fan-shaped lateral wells, were analyzed to investigate their production performance. The study specifically examined the influences of key parameters, including lateral angle, lateral length, and lateral spacing, on production capacity. The differences in development effectiveness between the two well types were quantitatively evaluated using numerical simulations. Differences in drilling difficulty, construction cost, and adaptability were also comprehensively compared. The results showed that within a certain range, the production capacity of fishbone-shaped lateral wells increased with increasing lateral length and the extent of drainage area, but the increase rate decreased beyond a threshold. The production capacity also increased with increasing lateral angle, number of laterals, and well inclination angle. For fan-shaped lateral wells, when the angle between main boreholes ranged from 30° to 90°, the daily gas production increased with larger angles. Similarly, the production capacity increased with increasing lateral length, but the growth rate slowed after a certain threshold. The production capacity also increased with increasing lateral angle and number of laterals. Fishbone-shaped lateral wells demonstrated stronger adaptability under complex geological conditions and could effectively reduce drilling difficulty and construction costs, while fan-shaped lateral wells performed better in enhancing single-well production capacity. Therefore, in practical CBM development, geological conditions, economic costs, and technical capabilities should be comprehensively considered to select the appropriate lateral well type for optimal development performance and economic benefit. This study provides a theoretical basis and practical guidance for the efficient development of CBM in the Bijie test area and similar regions.

Key words: lateral well, coalbed methane, pressure drop model, production capacity analysis, drilling difficulty

CLC Number: 

  • TE22